原理
快速帮您解决工作中遇到的问题
常见问题
原理
Biacore系统检测的原理是什么?能够对哪些分子进行检测?常见的应用类型包含哪些?
原理:
Biacore 的检测原理基于表面等离子共振技术 (SPR),能够灵敏地反映距离传感芯片表面约 150 nm 范围内折光率的变化。为了研究两个分子之间的相互作用,其中一个分子被固 定到芯片表面上,而另一个分子以溶液的形式连续流过表面。SPR 响应值直接与芯片表面附近的质量浓度变化成正相关。
样品类型:
Biacore 系统原则上可以用于研究任何种类分子间的相互作用:从候选的有机药物分子到蛋白质、核酸、糖、甚至是病毒和全细胞。 因为响应值与质量浓度成正比,因此每摩尔浓度的结合分子产生的 信号与其分子量成正相关(较小的分子量产生较低的响应值。几乎所有Biacore的机型对有机分子无分子量下限。
应用类型:
- 动力学和亲和力常数的测量;
- 筛选结合伴侣分子并对结合能力进行排序,例如在药物开发和生物制药研发中的应用;
- 多重结合分析,例如单克隆抗体的抗原表位作图(Epitope binning);
- 样品中目标分子的浓度定量,利用目标分子的结合属性,对不同 条件下的目标分子活性浓度进行测定;
- 特定分子的检测,例如在免疫原性研究中的抗药抗体的检测。总结来说Biacore 系统可以满足包括药物开发、质量控制和基础生命科学研究中绝大部分生物分子相互做能用的实验。
Biacore分子相互作用实验中所说的“共价偶联”、“捕获法”指的是什么?请详细介绍。
- 固定到芯片表面的生物分子称为配体,以溶液形式流过配体的另一个相互作用分子为分析物,在药物发现和开发工作中,配体有时候被称为靶点分子。共价偶联为配体通过化学偶联试剂共价地固定于芯片表面 。也可以通过捕获的方法,在芯片表面固定一个会与配体高亲和力结合的捕获分子。根据样品与实验特性选择适合的方式

- 捕获法的优势:
- 捕获法不需要对配体做任何化学修饰, 且可以在生理条件下进行。 因此它可以应用于固定不适合使用共价方法偶联的配体。
- 对于捕获方法, 芯片再生将捕获的配体连同其他结合分子一同去除, 留下捕获分子准备用于下一循环去结合新鲜的配体。 尽管这个方法增加了配体的消耗, 但它避免了配体无法被再生而损坏的可能性, 并可以在同一传感芯片上的不同循环间更换配体。
- 在捕获相互作用选择性足够的情况下, 可以从混合的样品中捕获固定一个特定的配体。 而使用共价偶联的方式固定配体则要求预先纯化。
- 直接偶联的优势:
- 共价反应
- 偶联量高
- 配体消耗量少
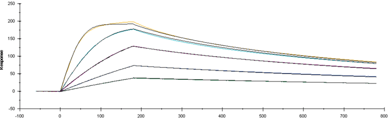
Biacore图谱中各段线段都是什么意思,仪器分别在进什么溶液?

Biacore的样品对于颜色,透明度有什么要求吗,产生的信号与质量是什么关系呢?
Biacore的样品对于颜色,透明度等外观特点没有要求。
对于Biacore 系统中的响应值与芯片表面上的质量变化直接相关, 因此摩尔响应值(即单位数量的分子的响应值)与所检测的分子大小成正相关。一定的响应值对于更小分子意味着更高的摩尔浓度;同样,如果分子量更小,相同数量的分子结合到芯片表面只能产生更低的响应值。对于蛋白质,无论它们的氨基酸组成和序列,响应值与芯片表面浓度之间的关系基本上是恒定的,对于大多数其他生物 大分子也类似如此。
在进行动力学检测的时候,多循环动力学和单循环动力学有什么区别,优劣势在哪里?
- 多循环动力学(如下图):进样一系列浓度的分析物,每个循环只分析一个 浓度的样品,在每次进样后对芯片表面进行再生。在多循环动力学中对再生条件进行优化十分重要。

- 单循环动力学(如下图):进样一系列浓度的分析物,但在一个循环中完成 所有浓度样品的进样和分析,两次样品进样之间不需要再生。 当不能获得适当的再生条件时这种方法特别有用。但是由于一个 循环的周期较长,因此对响应值漂移更加敏感。

- 单循环和多循环原理一样,结果也只有1个ka,1个kd。只是省去了再生步骤;高浓度进样时,会有少量低浓度进样残留的影响;结果当然多循环更准确,单循环更适合快速摸索实验条件、大概确定动力学常数范围。
浓度测定的时候分为两种方法,这两种方法有什么不一样吗?
- 标准曲线法:利用已知浓度的分析物标准品建立标准曲线,从而建立了结合响应值与分析物浓度之间的关系,再将未知浓度的样品产生的信号值根据标准曲线计算其对应浓度。采用标准曲线的浓度测定法可以具体为直接或间接测定法。
- 直接测定法测定与传感芯片上配体直接结合的分析物。这种方法适合大分子量的分析物(分子量 > 5000 Da);更小分子的也有可能直接测定,但这种测定法的有效范围在这些情况下通常有限。
- 间接或竞争检测法提供一种间接的分析物浓度测定方法,而且对于低分子量分析物定量最为有用。间接检测法的最常见形式是溶液内竞争或抑制方法,即将一种已知量的相互作用伴侣( 检测分子 )与样品混合,然后测定保留在混合物中的游离的检测分子的量。在表面竞争法中,分析物与高分子量类似物(通常是蛋白质复合物)竞争结合于传感芯片表面上的一个共同结合对象。在两种竞争检测法形式中,所获得的响应值与样品中的分析物浓度呈负相关。
- 而Biacore依托于超高的检测灵敏度,可以支持直接法进行样品浓度定量,简化实验流程,加快方法开发。
- 无需标准曲线的浓度浓度测定法(CFCA):由所观察到的扩散特性的结合速率获得浓度,是Biacore独特的浓度测定技术,具有专利保护。
Biacore上的响应单位RU到底指的是什么?
RU为response unit或者resonance unit, 也就是响应值。在表面等离子共振技术相关的文献中标明, 假如利用CM5芯片进行蛋白与蛋白的互作分析,那1 RU 大约相当于芯片表面 产生了1 pg/mm2 浓度的变化。 Biacore 系统的响应值应该始终以 RU 为单位, 而不是以浓度为单位。
无论是捕获法还是直接偶联法,在分析物结合量一定时,分析物浓度以及结合时间该如何取舍,高浓度短时间以及低浓度长时间对亲和力结果各有什么影响?
分析物最高浓度要能看到饱和的趋势(拐点),结合时间以能看到拐点为准。如果没有高浓度。
ABA模式的“A”和“B”都指什么?

- ABA进样模式的应用主要集中在Buffer筛选和竞争实验。
- 针对于竞争实验来说,A为可饱和配体的竞争分子,B为待检测样品。
如何正确选择拟合模式?
关于拟合模式的选择,是选择动力学法(Kinetics)分析还是稳态法(Affinity)分析,主要是根据响应值图谱的形状来判断,如下图所示:

Biacore分析结果中的参数释义:
- Chi2:根据结合水平进行评估。低Chi2与响应的关系表明拟合良好(Chi2<1/10 Rmax)
- U-value:
- < 15 = 参数不显著相关,数据可信任
- > 25 = 数据不可信
- tc:如果tc比ka至少高100倍,数据很可能不是质量传输的限制。
- Rmax:分析物与芯片表面配提蛋白的结合能力
- RI:折射率

收藏
询价