双抗分子如何开展效价测定,使用Biacore就对了
重组蛋白、疫苗、血清等样品的效价测定工作,想必大家都不陌生啦。小编团队此前也整理了诸多案例及实验方案解读及介绍,详情见:
☞ 效价测定知多少,SPR技术把你教
今天,就让我们聚焦于双抗分子,看看如何针对双抗分子展开高效的效价测定工作!
罗氏制药收购的基因泰克公司于2022年1月28日宣布,FDA已批准使用Vabysmo (faricimab-svoa) 治疗湿性或新生血管性年龄相关性黄斑变性 (nAMD) 、糖尿病性黄斑水肿 (DMF) 、视网膜静脉阻塞 (RVO) 患者,它是首款获FDA批准用于眼部的双特异性抗体。
早在2014年,罗氏研发中心就围绕faricimab展开了其效价测定方案的研发工作。接下来,让我们重温经典,一起来看看具体的实验设计及数据吧!
01
实验设计
芯片:CM5
实验步骤:捕获法(偶联VEGF蛋白;抓取不同浓度的双抗,60 s;接着进样Ang-2抗原,30 s,1 μg/mL)
方法模板:连续进样模式
实验流速:5 μL/min
缓冲液:HBS-N(偶联);PBS-T(运行)
再生液:10 mM Gly,pH=2.0
图1:使用Biacore搭建faricimab的效价测定方案
02
实验结果
01
确定faricimab的进样条件及数据分析模型
为探究faricimab在此效价测定方案中的浓度依赖现象,研究人员在Injection 1中,选择上样0.35 μg/mL-30 μg/mL的双抗,Injection 2中的Ang-2抗原保持30 s,1 μg/mL的实验参数,结果如图2所示,R2信号随着faricimab的进样浓度增加呈S曲线趋势,当faricimab的进样浓度高于10 μg/mL时,R2信号呈负增长趋势。因此,在后续的实验中,faricimab的进样浓度低于10 μg/mL。
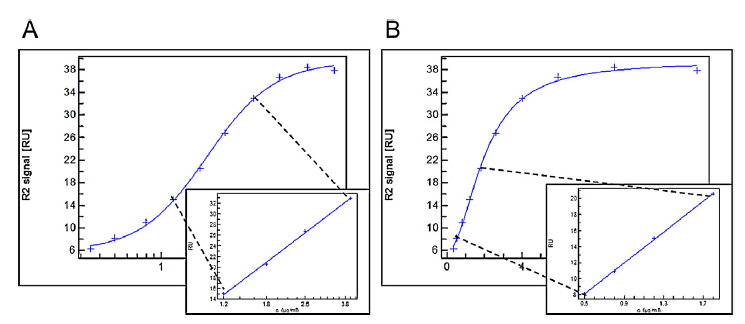
为探究precision、accuracy、linearity与specificity等性能参数,研究人员选择了slope-ratio、parallel-ratio模型进行了数据采集及分析工作。同时,也选择了parallel line model进行数据采集及分析,具体见图3。
图2:Faricimab在不同浓度条件下时,R1/R2信号的变化情况
图3:R2的浓度依赖情况(A: Parallel line model; B: Slope-ratio model)
02
验证方案的适用性及特征参数
表1:60-140%活性浓度的标准品测定得到的特征参数结果
图4:抗体在不同条件下的活性检测情况
相较传统的终点检测法(例如ELISA),Biacore在开展相关实验方案的制定时采用了在线测量方式,无需把实验分割成多步实验去完成,减少了可变量因素。同时,Biacore采用了label-free检测方式,检测信号与芯片表面质量的变化呈正相关关系,所以无需对检测样本做预标记处理,降低了实验复杂度及样品消耗。
看完以上内容,不由觉得Biacore应用面颇广呀。例如蛋白、多抗、核酸、多糖、病毒颗粒等,Biacore都能助力相关的检测方案建立,助力研发成果的转化,加速药物的上市进度。大家如若对Biacore设备应用进展或对实验方案设计有特定的需求,欢迎随时与我们联系!

收藏
询价