揭开中药名方的神秘面纱,原来得靠它

9 月 2, 2022

首页 > Biacore > 知识资源中心 > 药学 > 中药 >揭开中药名方的神秘面纱,原来得靠它

中医药是中华文明的瑰宝,我国现存最早的医方著作《五十二病方》成书于约战国时期。中药复方发展至今,有很多古来有之的名方仍在沿用。今年3月国务院办公厅印发“十四五”中医药发展规划的通知,强调了中医药高质量发展,进一步提升了中医药发展的战略高度。中药复方由多种中药组成,其作用机制一直掩藏在复杂的化学组分之下。用现代科学解读中医药,诠释治病原理,推动传统中医药的现代发展,是很多中医药研究的目标。

现代科学如何与传统中医药结合?本期合集里小编带您逐个详看,专注生物分子互作的Biacore转角遇见传统中药复方,助力发现中药复方神秘面纱下的本质,解读其作用机制

固本咳喘汤剂治疗慢性支气管炎

2021年,北京中医药大学史渊源教授团队在Journal of Inflammation Research发表了“Integrated Systems Pharmacology and Surface Plasmon Resonance Approaches to Reveal the Synergistic Effect of Multiple Components of Gu-Ben Ke-Chuan Decoction on Chronic Bronchitis”,整合系统药理学和Biacore表面等离子体共振技术,揭示了固本咳喘汤对慢性支气管炎的作用机制1。作者将水煎药剂利用UHPLC-LTQ-Orbitrap分离鉴定得到了53种主要化合物,之后分别使用MedChem Studio分析化合物相关的靶点,使用DrugBank database,OMIM database分析慢性支气管炎的靶点,STRING database分析蛋白-蛋白互作,构建了基于Cytoscape和GO enrichment的网络药理学虚拟筛选方法,鉴定了39种主要化合物及141个主要靶点,主要靶点集中在TNF信号通路,推测固本咳喘汤剂可以降低慢性支气管炎患者的炎症反应。

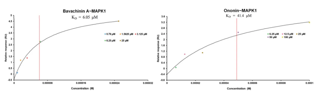
利用分子对接鉴定了20组TNF通路相关的化合物-靶点后,作者利用Biacore 8K,将靶点蛋白(NFKB1,MMP-9,TNF-α, MAPK1)固定在CM5芯片表面,参比通道做活化和封闭处理,化合物作为分析物流过芯片表面,检测药物分子与靶点蛋白的动力学/亲和力。Biacore结果验证了分子对接结果中化合物-靶点的结合,其中formononetin与NFKB1的KD值为32.5 μM, isoliquiritin与TNF-α 或MMP-9的亲和力更强,KD 值分别为 3.6 μM和2.7 μM(图1)。Bavachin A和Ononin分别都与MAPK1有结合,Biacore结果发现Bavachin A与MAPK1的亲和力更强,达到6.05 μM(图1)。


图1 使用Biacore8K检测靶点与不同化合物的亲和力

借助于Biacore的实时检测,作者发现了liquiritin-MMP-9,Bavachin-MAPK1,liquiritin-MAPK1之间的动力学结合信息,发现liquiritin-MMP-9的解离最慢,Bavachin-MAPK1结合最快(图2),并提出动力学信息对先导化合物的发现具有重要意义。Biacore结果给出了药物-靶点结合的直接证据,也证明网络药理学虚拟筛选+分子对接方法的可行性。后续的细胞实验发现,与对照组相比,GBKC处理后细胞的TNF-α和IL-6的分泌水平明显下降。

图2 Biacore 8K 检测靶点与化合物的动力学结合过程
图2 Biacore 8K 检测靶点与化合物的动力学结合过程

芎芍止痛处方治疗类偏头痛

今年7月,北京中医药大学的王伟玲,王停,高简教授团队在frontiers in pharmacology杂志报道了芎芍止痛处方治疗硝酸甘油引起的类偏头痛的作用机制,同样使用Biacore鉴定了复方中关键化合物与靶点的结合2。作者分别鉴定了提取物,及用药后大鼠血清中的关键化合物。之后在大鼠模型中发现,芎芍止痛处方可以减轻大鼠的异味疼痛及畏光,有镇痛的作用。细胞水平上,调节硝酸甘油引起的NO,CGRP、 5-HT、SP异常水平,下调硬脑膜肥大细胞和血清IL-1β、IL-6、TNF-α水平,抑制炎症反应。

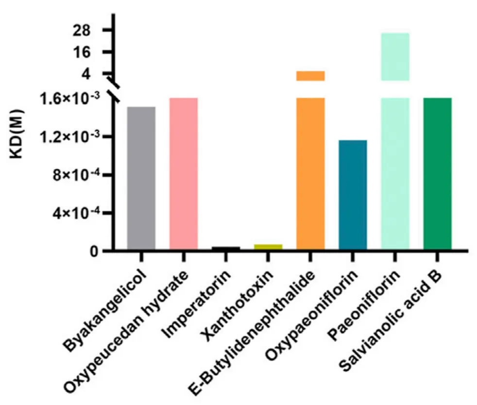
有证据表明NO和NOS(Nitric Oxide Synthase)是偏头痛的重要调节因子,这里作者也发现,给药组的NO表达水平和NOS酶活相较对照组明显下调。为了明确芎芍止痛处方中与NOS作用的关键化合物,作者使用Biacore T200 ,将NOS(Gly468–Leu616)偶联在CM5芯片上,用固定的8个浓度点(0-100 μM)依次流过15种血清检测到的化合物,筛选到两个有明显结合的化合物imperatorin (Imp)、xanthotoxin (Xan) ,并得到二者与NOS的亲和力分别是0.45 μM和0.69 μM(图3)。由此说明了Imp、Xan与NOS的直接结合,说明潜在的药物-靶点关系。

图3 Biacore筛选与靶点NOS结合的活性化合物

图3 Biacore筛选与靶点NOS结合的活性化合物

清金化痰汤治疗急性肺损伤

7月,同样在frontiers in pharmacology杂志,同样使用了Biacore,中国中医科学院游云,天津药物研究院张铁军团队合作发表了清金化痰汤治疗急性肺损伤的作用机制3。清金化痰汤从明朝起就被用于肺部疾病的治疗,记录在明代医术《医学统旨》中,至今仍被沿用。为了明确清金化痰汤对急性肺损伤的治疗原理,作者使用UPLC-Q-TOF-MS分析了用药后血清中的化合物组成,鉴定得到22种活性化合物4,通过GO/KEGG分析+网络药理学,发现这22中化合物有176个潜在靶点,这些靶点与脂质、动脉粥样硬化、肾素-血管紧张素系统、HIF-1等信号通路相关。

结合分子对接结果和急性肺损伤已报道的靶点,作者选择baicalin, wogonin和 baicalein三种化合物来做与靶点thrombin的体外结合验证。作者利用Biacore T200把thrombin固定在CM5芯片上,化合物作为分析物依次流过芯片表面。

图4 使用Biacore T200检测靶点thrombin与活性化合物的结合

图4 使用Biacore T200检测靶点thrombin与活性化合物的结合

动力学/亲和力结果发现,3种化合物表现出不同的结合模式,baicalein, wogonin与靶点的结合表现出典型的“快上快下”模式,用affinity模型拟合得到亲和力分别为11.92 μM和1.303 μM,而baicalin与靶点则表现出 “慢上慢下”,用kinetics拟合可得到结合速率和解离速率,并且得到的亲和力为1.146 μM(图4)。不同的结合模式,指示着活性分子与靶点复合物的稳定性,与药物的作用时间也有一定关系。Biacore实验中,不同的结合模式可使用对应的拟合模型得到相应的亲和力和动力学信息(图6),Biacore精准的动力学信息也为后续药物开发提供了重要意义。

图5 不同的结合模型对应的拟合模型
图5 不同的结合模型对应的拟合模型

体外验证了靶点后,作者利用流式细胞术等方法在细胞水平做了信号通路的验证,结果证明清金化痰汤能抑制LPS激活的中性粒细胞中Src的磷酸化,抑制NETs的产生。

“守正创新,一定要传承好的经验,同时还要赋予它时代内涵。”张伯礼院士的话准确地指出了广大中医药研究者的方向。

 
中药里的天然化合物不仅分子量小,且绝大多数溶解性较差,需要借助有机溶剂助溶,而Biacore作为经典的体外分子互作 “金标准”,以优于其他检测技术超百倍的超高灵敏度、超高分辨率,且具备有机溶剂背景信号自动校正功能,成为小分子天然化合物研究的利器。同时,Biacore独特的Dual Injection 与A-B-A进样模式,又方便了竞争抑制实验的方法开发和实验设计,加速了中医药研究者发现一个又一个中药名方背后的作用机制。

除了中药复方的作用机制研究之外,下次Biacore小编还将分享中药里天然产物治疗新冠的相关研究,敬请期待!